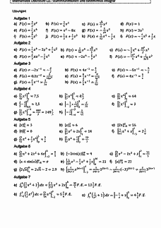
Stammfunktionsübung und Flächenberechnung GYM 12. Klasse
Arbeitsblatt Mathematik, Klasse 12
Inhalt des Dokuments
Übungsaufgaben zur Integralrechnung: Stammfunktionen bilden, bestimmtes und unbestimmtes Integral, einfache Flächenberechnung
1
Seite
2x
geladen
940x
angesehen
Bewertung des Dokuments
381941
DokumentNr
Anzeige lehrer.biz
Lehrkraft (w/m/d) für Politik & Wirtschaft / Sport / Mathematik / Ev. Religionslehre / Spanisch
Kuratorium des Litauischen Gymnasiums e. V. 68623 Lampertheim Hüttenfeld
Gymnasium
Fächer: Sporterziehung, Sport Additum, Sport, Spanisch, Wirtschaftsmathematik, Mathematik Additum, Mathematik, Evangelische Religionslehre
Fächer: Sporterziehung, Sport Additum, Sport, Spanisch, Wirtschaftsmathematik, Mathematik Additum, Mathematik, Evangelische Religionslehre
Anzeige lehrer.biz
Lehrkräfte (m/w/d) für Mathematik und Physik für SEK I und II
Montessori-Zentrum Hofheim 65719 Hofheim am Taunus
Gymnasium
Fächer: Physik / Chemie / Biologie, Physik, Wirtschaftsmathematik, Mathematik Additum, Mathematik
Fächer: Physik / Chemie / Biologie, Physik, Wirtschaftsmathematik, Mathematik Additum, Mathematik
Anzeige lehrer.biz
Lehrkräfte (m/w/d) für Mathematik und Physik für SEK I und II
Montessori-Zentrum Hofheim 65719 Hofheim am Taunus
Gymnasium
Fächer: Physik / Chemie / Biologie, Physik, Wirtschaftsmathematik, Mathematik Additum, Mathematik
Fächer: Physik / Chemie / Biologie, Physik, Wirtschaftsmathematik, Mathematik Additum, Mathematik
Anzeige lehrer.biz
Lehrkraft (m/w/d) für Sport für SEK I und II
Montessori-Zentrum Hofheim 65719 Hofheim am Taunus
Gymnasium
Fächer: Sporterziehung, Sport Additum, Sport, Physik / Chemie / Biologie, Physik, Wirtschaftsmathematik, Mathematik Additum, Mathematik, Deutsch als Zweitsprache, Deutsch
Fächer: Sporterziehung, Sport Additum, Sport, Physik / Chemie / Biologie, Physik, Wirtschaftsmathematik, Mathematik Additum, Mathematik, Deutsch als Zweitsprache, Deutsch
Anzeige lehrer.biz
Lehrkraft (m/w/d) für Sport für SEK I und II
Montessori-Zentrum Hofheim 65719 Hofheim am Taunus
Gymnasium
Fächer: Sporterziehung, Sport Additum, Sport, Physik / Chemie / Biologie, Physik, Wirtschaftsmathematik, Mathematik Additum, Mathematik, Deutsch als Zweitsprache, Deutsch
Fächer: Sporterziehung, Sport Additum, Sport, Physik / Chemie / Biologie, Physik, Wirtschaftsmathematik, Mathematik Additum, Mathematik, Deutsch als Zweitsprache, Deutsch
Musterlösung
2
Seiten
Bewertung des Dokuments
381942
DokumentNr
So funktioniert schulportal.de
Kostenlos
Das gesamte Angebot von schulportal.de ist
vollständig kostenfrei. Keine versteckten Kosten!
Anmelden
Sie haben noch keinen Account bei schulportal.de?
Zugang ausschließlich für Lehrkräfte
Mitmachen
Stellen Sie von Ihnen erstelltes Unterrichtsmaterial
zur Verfügung und laden Sie kostenlos
Unterrichtsmaterial herunter.


















