Klassenarbeit "Lineare Funktionen"
4. Klassenarbeit / Schulaufgabe Mathematik, Klasse 11
Inhalt des Dokuments
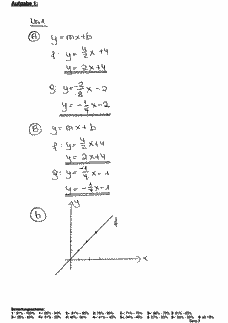
Es werden theoretische Aufgaben zu linearen Funktionen gestellt, aber auch typische Anwendungsaufgaben, die Musterlösung ist im Dokument integriert
8
Seiten
2x
geladen
396x
angesehen
Bewertung des Dokuments
382397
DokumentNr
So funktioniert schulportal.de
Kostenlos
Das gesamte Angebot von schulportal.de ist
vollständig kostenfrei. Keine versteckten Kosten!
Anmelden
Sie haben noch keinen Account bei schulportal.de?
Zugang ausschließlich für Lehrkräfte
Mitmachen
Stellen Sie von Ihnen erstelltes Unterrichtsmaterial
zur Verfügung und laden Sie kostenlos
Unterrichtsmaterial herunter.






















