Klassenarbeit "Differenzialrechnung"
1. Klassenarbeit / Schulaufgabe Mathematik, Klasse 12
Inhalt des Dokuments
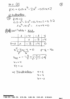
Klassenarbeit zur Kurvendiskussion
9
Seiten
2x
geladen
453x
angesehen
Bewertung des Dokuments
382454
DokumentNr
So funktioniert schulportal.de
Kostenlos
Das gesamte Angebot von schulportal.de ist
vollständig kostenfrei. Keine versteckten Kosten!
Anmelden
Sie haben noch keinen Account bei schulportal.de?
Zugang ausschließlich für Lehrkräfte
Mitmachen
Stellen Sie von Ihnen erstelltes Unterrichtsmaterial
zur Verfügung und laden Sie kostenlos
Unterrichtsmaterial herunter.
























