Klassenarbeit zur Kurvendiskussion, Folgen und Reihen
3. Klassenarbeit / Schulaufgabe Mathematik, Klasse 11
Inhalt des Dokuments
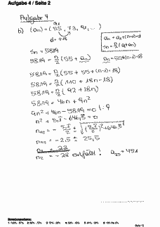
Zu bearbeiten ist eine Kurvendiskussion sowie Aufgaben zu Folgen und Reihen, die Lösungen sind angehängt
18
Seiten
2x
geladen
154x
angesehen
Bewertung des Dokuments
383155
DokumentNr
So funktioniert schulportal.de
Kostenlos
Das gesamte Angebot von schulportal.de ist
vollständig kostenfrei. Keine versteckten Kosten!
Anmelden
Sie haben noch keinen Account bei schulportal.de?
Zugang ausschließlich für Lehrkräfte
Mitmachen
Stellen Sie von Ihnen erstelltes Unterrichtsmaterial
zur Verfügung und laden Sie kostenlos
Unterrichtsmaterial herunter.










































