Neutralisationsenthalpie mit Energiebegriff
Skript Chemie, Klasse 12
Inhalt des Dokuments
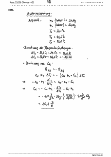
Material zur Erarbeitung und zur Durchführung von Experimenten zur Ermittlung der Neutralisationsenthalpie mit Wärmekapazität
23
Seiten
2x
geladen
934x
angesehen
Bewertung des Dokuments
386935
DokumentNr
Materialpaket zu Erarbeitung der Neutralisationsenthalpie mit Rechenbeispielen...
methode
300 Minuten
Arbeitszeit
So funktioniert schulportal.de
Kostenlos
Das gesamte Angebot von schulportal.de ist
vollständig kostenfrei. Keine versteckten Kosten!
Anmelden
Sie haben noch keinen Account bei schulportal.de?
Zugang ausschließlich für Lehrkräfte
Mitmachen
Stellen Sie von Ihnen erstelltes Unterrichtsmaterial
zur Verfügung und laden Sie kostenlos
Unterrichtsmaterial herunter.




















































