Salier/ Dynastien des Mittelalters
Arbeitsblatt Geschichte, Klasse 7
Inhalt des Dokuments
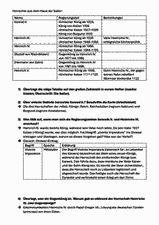
Arbeitsaufträge zu den Herrschern und ihren Dynastien im Früh- und Hochmittelalter.
6
Seiten
2x
geladen
698x
angesehen
Bewertung des Dokuments
388699
DokumentNr
So funktioniert schulportal.de
Kostenlos
Das gesamte Angebot von schulportal.de ist
vollständig kostenfrei. Keine versteckten Kosten!
Anmelden
Sie haben noch keinen Account bei schulportal.de?
Zugang ausschließlich für Lehrkräfte
Mitmachen
Stellen Sie von Ihnen erstelltes Unterrichtsmaterial
zur Verfügung und laden Sie kostenlos
Unterrichtsmaterial herunter.










