Unterrichtsbesuch Substitution - Nullstellenverfahren
Unterrichtsentwurf / Lehrprobe Mathematik, Klasse 10
Inhalt des Dokuments
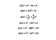
Erarbeitung der Substitution durch Ausprobierem
12
Seiten
2x
geladen
140x
angesehen
Bewertung des Dokuments
383141
DokumentNr
45 Minuten
Arbeitszeit
So funktioniert schulportal.de
Kostenlos
Das gesamte Angebot von schulportal.de ist
vollständig kostenfrei. Keine versteckten Kosten!
Anmelden
Sie haben noch keinen Account bei schulportal.de?
Zugang ausschließlich für Lehrkräfte
Mitmachen
Stellen Sie von Ihnen erstelltes Unterrichtsmaterial
zur Verfügung und laden Sie kostenlos
Unterrichtsmaterial herunter.






























